汽车座椅一直是人体工程学设计中的一项复杂的挑战,毕竟每个人的身体限制和对舒适度的主观偏好差异很大,因而能确定汽车座椅舒适度的因素和要求这些因素设计的规范尤为重要。
近年来,五菱宏观mini掀起了小型的电动汽车的销量热潮,优化小型电动汽车的座椅设计的需求也逐渐显现,例如满足老年人和单人家庭等特定群体的需求。
本文将分享一篇从理论出发,旨在提升微型电动汽车驾驶体验的实用性研究,并提供了一种新的RSM应用。
DoE 是科学家用于优化流程的统计工具,能找出影响系统表现的关键因素并分析它们的相互作用。
RSM 则可通过数学模型预测并优化设计参数。
这两种方法结合,可以更加有效地分析人体工学设计的复杂性。
人体工学优化不仅用于座椅,还在工厂工作站、驾驶舱显示系统等场景广泛应用。
例如,Taguchi正交实验法帮助改进了珠宝抛光工作站的布局,减少了操作人员的身体负担。
DHM可在仿真环境中预测人体工程学,并使用先进技术(如Xsens套装)将人体姿势与产品模型结合
这种方法可以实现人体工程学的虚拟复制和分析,从而可以同时模拟手动任务。这种集成节省了时间,使工程师可以更轻松地在同一软件环境中实时使用产品模型模拟人体姿势或任务。
RSM用于建立输入和输出间的回归模型,从而预测和优化人体工学设计。
例如,Khayer等人基于印度东北地区的人体尺寸数据优化脚踏式脱粒机的设计,提升操作安全性和舒适性;在另一个案例中,RSM应用于脚踏式稻草刺机的设计优化。
响应面法是一种统计方法,用于优化变量和响应间的关系。该研究运用响应面法确定微型电动汽车座椅的最佳尺寸,通过提升驾驶员平均舒适度和信噪比 (S/N) 并减少标准差来实现。单纯提升平均舒适度无法保证舒适度的一致性,因此降低标准差尤为重要。S/N 比的优化确保舒适度明显高于波动性,表明设计调整有效且稳健。
正交实验设计用于初步建立输入输出回归模型,而 S/N 比作为性能指标融入优化,以兼顾设计的稳健性和舒适度提升。
详细说明请见图 1及方法部分。

此阶段评估响应面模型的有效性,确保其能根据输入因素预测舒适度,以支持最佳人体工程学设计。
响应面通过试验范围内输入值估算平均输出,并以标准误差 (SE) 表示,SE 越小,模型越精确。等高线图提供直观预测,图 2 显示了设计空间分数 (FDS) 的 SE 等高线,其中第 6 条等高线 (0.28) 包含 43% 的设计空间(SE < 0.28)。
整体设计空间的 SE 小于 0.417,表明设计合理。


ANOVA 结果方差分析 (ANOVA) 用于评估模型中各因素对响应的显著性。在 95% 置信水平下,ANOVA 结果(表 1)显示 p 值 < 0.0001,表明模型项显著,且 f 值较高,说明模型适用性强。由噪声引起如此高 f 值的概率仅为 0.01%。

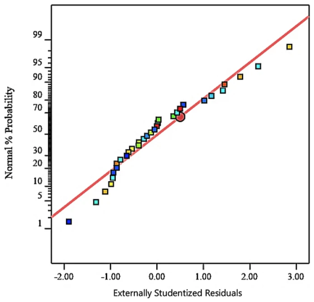
残差分析残差分析进一步验证模型,通过正态性图检查残差分布,未发现异常值,说明残差分布正常且随机,表明模型拟合良好。图 4、5、6 显示正态性图,而图 7、8、9 显示预测值与外部学生化残差的随机分散,证明模型对数据拟合稳定、可靠。






扰动分析扰动图用于评估响应对各因子变化的敏感度。图 10 显示设置 25 的扰动图,其预测值与实际值一致,验证了模型的稳健性和在优化人体工程学设计中的实用性。

回归模型成功表示系统,多目标优化方程可用于响应面优化。利用 Design-Expert V12 软件的可取性优化工具,通过数值优化找到了能最大化目标函数可取性的解决方案。对于多目标问题,可取性函数将所有目标组合成一个。高可取性值表明模型接近最佳值。

原文回归模型公式:Design-Expert V12 软件用于数据分析和多项式回归方程的制定。
为实现所有参与者的舒适度,赋予舒适度平均值最高权重,信噪比次高权重,而标准差因重要性较低被赋予权重 1。表 2 显示了优化因素值,表 3 给出约束的下限,其中标准差为 7.6,信噪比为 45.28。


在研究的最后阶段,使用 CATIA V5 软件通过 DHM 进一步验证了多目标优化过程中得出的优化因素。通过将优化的设计因素(A、B、C、D、E)集成到 CATIA V5 环境中,为参与者复制身体特征和就座姿势。
然后使用该软件进行 RULA 舒适度分析,并获得所有参与者的测试分数。分数越低,姿势越舒适。参与者 1 的模型如图 11 所示,所有参与者的测试结果见表 4。


如表4所示 ,所有参与者获得相同的最终测试分数并不意味着他们身体各个部位的舒适度都相同。RULA 的总体得分为 3 和 4,这表明可以找到更好的姿势。然而,重要的是要认识到实现一刀切的姿势的挑战。最佳尺寸表明,在超紧凑型汽车的给定可调节性和空间限制内,可以最大限度地提高舒适度,从而获得相对良好的姿势。

在车辆座椅设计中,选择适合的工程方法至关重要。该研究首次将响应面法 (RSM) 与数字人体模型 (DHM) 结合,用于微型电动汽车座椅的优化设计。在概念设计阶段使用全因子实验和 RSM,有助于实现稳健的分析。
以往的研究确定了评估汽车座椅设计的五个关键因素。然而,不同汽车设计有不同需求,如赛车与卡车的座椅要求各不相同。表 5 显示了各种研究中对因素的不同关注。以往研究多依赖单一分析方法,可能导致评估不够全面。该研究独特地结合 RSM 和 DHM,通过 CATIA V5 软件仿真和 RULA 验证,确保了设计的可靠性。
并且,该研究在舒适度量化上进行了改进,采用百分比评分,精度较高。此外,采用多种分析方法,使结果更加全面。
尽管如此,本研究也有局限性:未覆盖所有人体工程学因素,参与者样本有限,未涉及方向盘尺寸及湿度、振动等因素。未来可在模型中加入更多目标,或利用人工智能方法优化人体工程学设计。
(全文结束)
部分素材源于网络
如有侵权,请联系删除